SINOMER GPTA-3.5B

banner

Sinomer® GPTA-3.5B

Monómero trifuncional, monómero GPTA de base biológica, resina UV sostenible

Sinomer® GPTA-3.5B (G3.5POTA) se utiliza en una amplia gama de tintas de impresión de curado energético, barnices de sobreimpresión, recubrimientos y adhesivos. A diferencia del GPTA convencional, la materia prima del GPTA-3.5B, el glicerol propoxilado, es de origen biológico.

Propiedades:

Curado rápido

Buena resistencia química

Buena dureza

Buenas propiedades humectantes


Compartir en

SINOMER® GPTA-3.5B

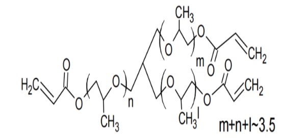
Sinónimo:   Triacrilato de glicerilo propoxilo

Número CAS:   52408-84-1

Fórmula molecular:   C21H32O9

Estructura molecular:


Información general :

Sinomer® GPTA-3.5B (G3.5POTA) es un monómero UV de base biológica con las características de baja viscosidad, baja irritación, baja volatilidad, alta reactividad, velocidad de curado rápida y buena resistencia al rayado.

Especificaciones :
Funcionalidad3
AparienciaLíquido transparente
Inhibidor de polimerización, ppm200~500 MEHQ
Humedad, % en peso≤0.1
Índice de acidez, mgKOH/g-≤0.5
Color, APHA≤50
Densidad, 25 ℃1.08~1.11
Viscosidad, cPS.25℃70~100
Índice de refracción1.461
Tensión superficial, dinas/cm²32.2


Uso :

Revestimientos para madera, revestimientos de PVC, revestimientos de plástico, revestimientos metálicos, tintas de impresión offset, impresión flexográfica, serigrafía, barnices, adhesivos.

Almacenamiento :

Se almacena en un almacén seco, limpio y bien ventilado.

Evitar la exposición a la luz y al calor.

Proteger el producto de fugas, lluvia y radiación solar durante el transporte.

¿Cómo Podemos Ayudar?

Ofrecemos una variedad de opciones para ayudarle a encontrar el producto adecuado para su aplicación.

¿POR QUÉ ELEGIR SINOCURE?

  • Desarrollo personalizado

    Proporcionar apoyo en la optimización de formulaciones para sistemas a base de agua/solventes

  • Cumplimiento global

    Cobertura completa de las normas REACH, FDA y GB

  • Suministro estable

    99,8% de tasa de entregas a tiempo, garantía de capacidad de producción de 10.000 toneladas

+86 15550440621
+8615668330235
info@sinocurechem.com
Su experto en formulación personalizada:
¡Desde el monómero hasta el polímero, desentrañamos todas las posibilidades!
©2025 Sinocure Chemical Group All Rights Reserved. CNZZ