Sinophor® APC

banner

Sinophor® APC

Abrillantador fluorescente Sinophor®

Sinophor® APC es especialmente adecuado para blanquear y dar brillo a tejidos de punto de algodón. FBA220 incorpora múltiples grupos hidrosolubles en su estructura, lo que le confiere una excelente solubilidad en agua, así como una buena resistencia a la transpiración y a los ácidos. Incluso con un pH de 3 a 4, mantiene un buen efecto blanqueador en las fibras de celulosa.

Dado que el agente blanqueador es líquido, se disuelve con mayor facilidad que los agentes blanqueadores en polvo y no genera contaminación por polvo. Basta con pesar la cantidad necesaria según el grado de blancura deseado y diluirla con agua en la proporción adecuada.


Compartir en

SINOPHOR® APC

● Sinónimo: Abrillantador fluorescente 220; Agente abrillantador fluorescente APC; FBA220; Abrillantador óptico 220

● N.º CAS:  16470-24-9

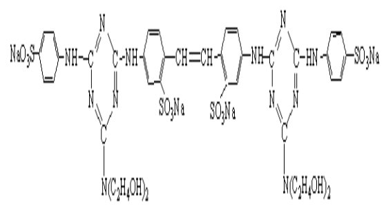
● Estructura:

Especificaciones :
ElementosEstándar
Apariencialíquido transparente ámbar
Intensidad de fluorescencia (equivalente al producto estándar)35
Blancura WCIE≥0
Viscosidad (25 ℃), mPa·s≤ 50
valor de pH8-10
Densidad, g/cm³1.1-1.2
IonicidadAnión


Solicitud :

1. El blanqueamiento fluorescente se realiza en la pulpa.
2. El blanqueamiento fluorescente se realiza en el encolado superficial.
3. El blanqueamiento fluorescente se realiza durante el proceso de recubrimiento.

Instrucciones :

1. Puede añadirse directamente a la suspensión. La dosis convencional es de 0,05 a 1,2 % (suspensión completamente seca).
2. Puede utilizarse junto con almidón, CMC y PVA, comúnmente utilizados en el encolado superficial, para obtener un mejor efecto blanqueador. La dosis convencional es de 0,5 a 10 g/L.
3. Durante el proceso de recubrimiento, puede añadirse en cualquier punto. Se obtienen mejores resultados al utilizarlo con PVA, CMC y almidón. Dosis convencional: de 0,1 a 1,4 % (respecto al peso del recubrimiento).

Embalaje :

● Tambor de plástico de 50 kg, 200 kg y 220 kg

Almacenamiento :

Almacenar en un lugar fresco y seco, alejado de la luz solar directa.

¿Cómo Podemos Ayudar?

Ofrecemos una variedad de opciones para ayudarle a encontrar el producto adecuado para su aplicación.

¿POR QUÉ ELEGIR SINOCURE?

  • Desarrollo personalizado

    Proporcionar apoyo en la optimización de formulaciones para sistemas a base de agua/solventes

  • Cumplimiento global

    Cobertura completa de las normas REACH, FDA y GB

  • Suministro estable

    99,8% de tasa de entregas a tiempo, garantía de capacidad de producción de 10.000 toneladas

+86 15550440621
+8615668330235
info@sinocurechem.com
Su experto en formulación personalizada:
¡Desde el monómero hasta el polímero, desentrañamos todas las posibilidades!
©2025 Sinocure Chemical Group All Rights Reserved. CNZZ