Sinolstab® UV-123

banner

Sinolstab® UV-123

Estabilizador de luz Sinolstab®

Sinolstab® UV-123 tiene baja alcalinidad y evita en gran medida la reacción con componentes ácidos en la pintura.
UV-123 es un estabilizador de luz de amina impedida líquida que contiene grupos aminoéter y se utiliza en la industria de recubrimientos. Este producto, gracias a su baja alcalinidad, evita en gran medida la reacción con componentes ácidos en los recubrimientos. UV-123 previene eficazmente el agrietamiento, la pérdida de brillo, el caleo y otros defectos en la pintura, aumentando así la vida útil del recubrimiento.
UV-123 es especialmente adecuado para pinturas automotrices y pinturas industriales de alto contenido en sólidos y curado ácido, tales como: sistemas acrílicos termoendurecibles de doble capa y pinturas acrílicas y de poliéster termoendurecibles de una sola capa de color sólido.

El mismo producto también puede utilizarse en los siguientes sistemas de recubrimiento:
·Pintura de repintado automotriz alquídica/acrílica de curado al aire
·Pintura alquídica de curado con oxígeno
·Recubrimientos bicomponentes sin isocianato


Compartir en

SINOLSTAB® UV-123


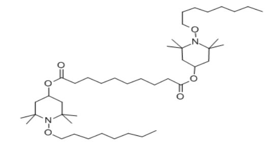
  • Nombre químico: Sebacato de bis-(1-octiloxi-2,2,6,6-tetrametil-4-piperidinil); TINUVIN 123; Chiguard 101; Eversorb 95; Omnistab LS 123; THASORB UV-123; SUNSORB LS-123; Estabilizador de luz UV-123; Estabilizador de luz HS-112

  • Cas No.: 129757-67-1

  • Estructura:

Sistema de aplicación :

Aspecto:   Líquido transparente, de color amarillo pálido.
Viscosidad (cinética a 20 °C): 3000 mPa·s.
Densidad a 20 °C:  0,97 g/cm³.

Rango de fusión: ≤-30 ℃

El UV-123 puede ser miscible con la mayoría de los solventes de recubrimiento en una proporción de más del 50%, y su solubilidad en agua es inferior al 0,01%, pero el UV-123 se emulsiona fácilmente en sistemas a base de agua.

Área de aplicación :

Recubrimientos para automóviles, recubrimientos industriales, recubrimientos decorativos y recubrimientos para madera.

Cantidad adicional :

Pinturas para automóviles e industriales: 0,5-2 % UV-123 + 1-3 % UV-1130, UV-384, UV-928 o UV-400.
Pinturas decorativas y para madera: 0,5-2 % UV-123 (solo) o + 1-3 % UV-1130 o UV-384.

Embalaje :
  • Tambor de 20 kg, 25 kg, 200 kg.

Almacenamiento :

Almacenar en un lugar fresco y seco, alejado de la luz solar directa.

¿Cómo Podemos Ayudar?

Ofrecemos una variedad de opciones para ayudarle a encontrar el producto adecuado para su aplicación.

¿POR QUÉ ELEGIR SINOCURE?

  • Desarrollo personalizado

    Proporcionar apoyo en la optimización de formulaciones para sistemas a base de agua/solventes

  • Cumplimiento global

    Cobertura completa de las normas REACH, FDA y GB

  • Suministro estable

    99,8% de tasa de entregas a tiempo, garantía de capacidad de producción de 10.000 toneladas

+86 15550440621
+8615668330235
info@sinocurechem.com
Su experto en formulación personalizada:
¡Desde el monómero hasta el polímero, desentrañamos todas las posibilidades!
©2025 Sinocure Chemical Group All Rights Reserved. CNZZ