Sinolstab® UV-292

banner

Sinolstab® UV-292

Estabilizador de luz Sinolstab®

SINOLSTAB® UV-292 es un estabilizador de luz de amina impedida de bajo peso molecular, soluble en la mayoría de los disolventes orgánicos comunes y con excelente compatibilidad con numerosos polímeros. Presenta un efecto sinérgico con los absorbentes UV. Previene eficazmente el agrietamiento y el desprendimiento superficial del recubrimiento bajo la exposición a la luz solar. Es especialmente eficaz en recubrimientos especiales para la industria automotriz y ofrece un buen efecto sinérgico con los absorbentes UV de benzotriazol.

Compartir en

SINOLSTAB® UV-292


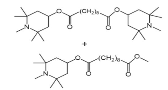
  • Nombre químico:  mezcla de: bis(1,2,2,6,6-pentametil-4-piperidinil)-sebacato y 1-(metil)-8-(1,2,2,6,6-pentametil-4-piperidinil)-sebacato

  • CAS No.:  41556-26-7 & 82919-37-7

  • Fórmula molecular: C30H56N2O4 + C21H39NO4

  • Estructura molecular:

Especificaciones :

Appearance    Active content    Ash    Specific gravity g/ml    

Clear, colorless liquid    >=97%    <=0.10%    0.99    


Solicitud :

SINOLSTAB® UV-292 (HS-508) es un estabilizador de luz de amina impedida (HALS) de alta eficacia. Se trata de un estabilizador de luz de amina impedida líquido que ofrece una excelente estabilidad a la luz en aplicaciones como recubrimientos, tintas de impresión y pinturas de poliuretano, evitando el desprendimiento o descamación superficial. Se utiliza ampliamente para la estabilización a la luz de polipropileno, polietileno, estireno, poliésteres insaturados, resinas acrílicas, polímeros vinílicos (PVC, PVB), incluidos plastisoles, elastómeros, adhesivos, selladores y recubrimientos. Su solubilidad en polioles lo hace especialmente recomendable para poliuretanos. SINOLSTAB® UV-292 generalmente presenta interacciones reducidas con coaditivos como pigmentos u otros estabilizadores. Además, SINOLSTAB® UV-292 muestra una fuerte sinergia con absorbentes UV de la familia del benzotriazol, sobre todo en recubrimientos para la industria automotriz y muebles de madera.

Embalaje :
  • Tambor de 25 kg o 200 kg.


Almacenamiento :

Almacenar en un lugar seco, limpio y ventilado.
Evitar la exposición a la luz y al calor.
Durante el transporte, proteger del sol, la lluvia y las fugas.

¿Cómo Podemos Ayudar?

Ofrecemos una variedad de opciones para ayudarle a encontrar el producto adecuado para su aplicación.

¿POR QUÉ ELEGIR SINOCURE?

  • Desarrollo personalizado

    Proporcionar apoyo en la optimización de formulaciones para sistemas a base de agua/solventes

  • Cumplimiento global

    Cobertura completa de las normas REACH, FDA y GB

  • Suministro estable

    99,8% de tasa de entregas a tiempo, garantía de capacidad de producción de 10.000 toneladas

+86 15550440621
+8615668330235
info@sinocurechem.com
Su experto en formulación personalizada:
¡Desde el monómero hasta el polímero, desentrañamos todas las posibilidades!
©2025 Sinocure Chemical Group All Rights Reserved. CNZZ