SINOMER® BMPT

banner

Sinomer® BMPT

Monómeros característicos, compuestos de politiol/policaptan/tiol, monómeros funcionales de sinomeros®

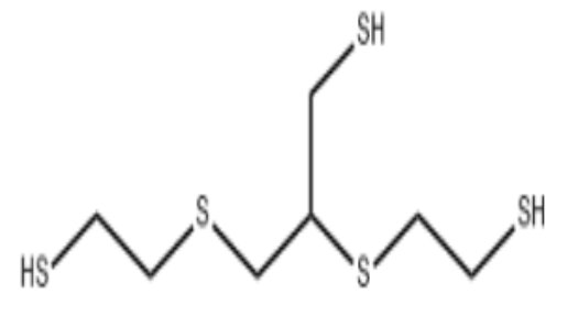
SINOMER® BMPT,Chemical name is 2,3-bis((2-mercaptoethyl)thio)-1-propanethiol;1,2-Bis[(2-mercaptoethyl)thio]-3-mercaptopropane ; which is a polythiol monomer,commonly used in UV coatings,adhesives and optical lenses.

For more details of our polythiol products , please click: The first choice epoxy resin curing agent for low temperature and rapid curing/polymercaptan/


Compartir en

SINOMER® BMPT


CAS No.: 131538-00-6

Chemical Name:

2,3-bis((2-mercaptoethyl)thio)-1-propanethiol; 1,2-Bis[(2-mercaptoethyl)thio]-3-mercaptopropane

Synonyms: THIOCURE DMPT;Polythiol DMPT;Mercaptan DMPT; Polymercaptan

Molecular structure:


Standard :
AppearanceColorless transparent liquid
Refractive index ,20ND1.6300~1.6350
Water content, ppm≤500
APHA Color≤8


Features :

• High refractive index, high definition, high Abbe, and strong resistance to impact
• Ultra-light and thin, good dyeing property, and applicable to design of precision progressive lens

Applications :
  • 1.67 HRI glasses lens monomer

  • HRI optical lens element

  • Precision optical lens UV glue



Other Polythiol/Polymercaptan related products :
Product NameCas No.Chemical NameSynonyms/Application
▶Sinomer® PETMP7575-23-7Penta-erythritol tetrakis(3-mercaptopropionate)THIOCURE PETMP;


PET-3-MP;Tetra (3-mercaptopropionate)

▶Sinomer® BMES3570-55-6Bis(2-mercaptoethyl) sulfide;


Dimercapto diethyl sulfide;

2,2′-Thiodiethanethiol;

THIOCURE DMDS;


Polythiol DMDS

▶Sinomer® BMPT131538-00-62,3-bis((2-mercaptoethyl)thio)-1-propanethiolTHIOCURE DMPT;


Polythiol DMPT

▶Sinomer® PM83972244-98-5Poly[oxy(methyl-1,2-ethanediyl)],.alpha.-hydro-.omega.-hydroxy-, ether with 2,2-bis(hydroxymethyl)-1,3-propanediol (4:1), 2-hydroxy-3-mercaptopropyl etherEpoxy curing agent,Capcure 3-800;


GABEPRO GPM-800;

Polythiol QE-340M;

Thiocure 1200

▶Sinomer® TMPMP33007-83-9Trimethylolpropane Tris(3-mercaptopropionate)/
▶Sinomer®OM835
188829-97-2Bis(thiiran-2-ylmethyl)sulfane;1,1′-Thiobis(2,3-epithiopropane);Bis(2,3-ethylpropyl) sulfidehigh refractive index optical monomer
▶Sinomer® OM26539667-72-62-Propenoic acid, 2-(2-benzothiazolylthio)ethyl ester;(2-(2-benzothiazolylthio)ethyl)acrylate;MBTAhigh refractive index optical monomer
▶Sinomer® OM258 97049-32-02-Naphthalenylthioethyl acrylate;2-Propenoic acid 2-(2-naphthalenylthio)ethyl ester;NTEAhigh refractive index optical monomer
▶Sinomer® OM386129283-82-5Bis(4-Methacryloylthiophenyl) Sulfide;4,4'-Thiodibenzenedithiol Dimethacrylatehigh refractive index optical monomer
▶Sinomer® PETMA10193-99-4Penta-erythritol tetrakis(2-mercaptoacetate)coupling agent
▶Sinomer® EGDMP22504-50-3Ethylene Glycol Bis(3-Mercaptopropionate)cross-linking agent,curing agent
▶Sinomer® GDMA123-81-9Glycoldimercaptoacetete;Ethylene di(S-thioacetate)PVC heat stabilizer 
▶Sinomer® EHMP50448-95-82-Ethylhexyl 3-Mercaptopropionate Sulfur-tin stabilizer
▶Sinomer® GMT8030618-84-9Glyceryl monothioglycolatedaily chemical





Packaging :
  • Packing:30kg/drum or 250 kg/drum 

  • Delivery:with in 5-7 working days.

Almacenamiento :

Being kept in dry, clean warehouse with well ventilation.

Avoid exposing to light and heating.

Protecting the product from leakage, rain and insolation during transportation.


¿Cómo Podemos Ayudar?

Ofrecemos una variedad de opciones para ayudarle a encontrar el producto adecuado para su aplicación.

¿POR QUÉ ELEGIR SINOCURE?

  • Desarrollo personalizado

    Proporcionar apoyo en la optimización de formulaciones para sistemas a base de agua/solventes

  • Cumplimiento global

    Cobertura completa de las normas REACH, FDA y GB

  • Suministro estable

    99,8% de tasa de entregas a tiempo, garantía de capacidad de producción de 10.000 toneladas

+86 15550440621
+8615668330235
info@sinocurechem.com
Su experto en formulación personalizada:
¡Desde el monómero hasta el polímero, desentrañamos todas las posibilidades!
©2025 Sinocure Chemical Group All Rights Reserved. CNZZ