Sinomer® BMPT

banner

Sinomer® BMPT

Monómero característico, compuestos de politiol/polimercaptano/tiol, monómeros funcionales Sinomer®

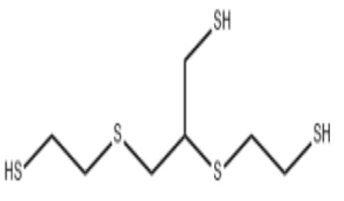
SINOMER® BMPT, el nombre químico es 2,3-bis((2-mercaptoetil)tio)-1-propanotiol;1,2-Bis[(2-mercaptoetil)tio]-3-mercaptopropano; que es un monómero de politiol, comúnmente utilizado en recubrimientos UV, adhesivos y lentes ópticas.

Para obtener más detalles sobre nuestros productos de politiol, haga clic en: El agente de curado de resina epoxi de primera elección para baja temperatura y curado rápido/polimercaptan/


Compartir en

SINOMER® BMPT


CAS No.:131538-00-6

Nombre químico:

2,3-bis((2-mercaptoetil)tio)-1-propanotiol; 1,2-Bis[(2-mercaptoetil)tio]-3-mercaptopropano

Sinónimos: THIOCURE DMPT; Politiol DMPT; Mercaptano DMPT; Polimercaptano

Estructura molecular:


Estándar :
AparienciaLíquido transparente incoloro
Índice de refracción, 20ND1.6300~1.6350
Contenido de agua, ppm≤500
Color APHA≤8


Características :

• Alto índice de refracción, alta definición, alto Abbe y fuerte resistencia al impacto
• Ultraligero y delgado, buena propiedad de teñido y aplicable al diseño de lentes progresivas de precisión

Aplicaciones :
  • Monómero de lente de gafas 1.67 HRI

  • Elemento de lente óptica HRI

  • Pegamento UV para lentes ópticas de precisión

Otros productos relacionados con politiol/polimercaptano :
Nombre del productoCas No.Nombre químicoSinónimos/Aplicación
▶Sinomer® PETMP7575-23-7Tetrakis(3-mercaptopropionato) de pentaeritritolTIOCURA PETMP;


PET-3-MP;Tetra (3-mercaptopropionato)

▶Sinomer® BMES3570-55-6Sulfuro de bis(2-mercaptoetilo);


sulfuro de dietilo dimercapto;

2,2′-Tiodietanotiol;

TIOCURO DMDS;


Politiol DMDS

▶Sinomer® BMPT131538-00-62,3-bis((2-mercaptoetil)tio)-1-propanotiolTIOCURO DMPT;


Politiol DMPT

▶Sinomer® PM83972244-98-5Poli[oxi(metil-1,2-etanodiilo)],.alfa.-hidro-.omega.-hidroxi-, éter con 2,2-bis(hidroximetil)-1,3-propanodiol (4:1), éter 2-hidroxi-3-mercaptopropílicoAgente de curado epoxi, Capcure 3-800;


GABEPRO GPM-800;

Politiol QE-340M;

Tiocure 1200

▶Sinomer® TMPMP33007-83-9Tris(3-mercaptopropionato) de trimetilolpropano/
▶Sinomer®OM835
188829-97-2Bis(tiiran-2-ilmetil)sulfano; 1,1′-tiobis(2,3-epitiopropano); sulfuro de bis(2,3-etilpropilo)monómero óptico de alto índice de refracción
▶Sinomer® OM26539667-72-6Ácido 2-propenoico, éster 2-(2-benzotiazoliltio)etílico; acrilato de (2-(2-benzotiazoliltio)etilo); MBTAmonómero óptico de alto índice de refracción 
▶Sinomer® OM258 97049-32-0acrilato de 2-naftaleniltioetilo; éster 2-(2-naftaleniltio)etílico del ácido 2-propenoico; NTEAmonómero óptico de alto índice de refracción 
▶Sinomer® OM386129283-82-5Sulfuro de bis(4-metacriloiltiofenilo); dimetacrilato de 4,4'-tiodibencenoditiolmonómero óptico de alto índice de refracción
▶Sinomer® PETMA10193-99-4Tetrakis(2-mercaptoacetato) de pentaeritritolagente de acoplamiento
▶Sinomer® EGDMP22504-50-3Bis(3-mercaptopropionato) de etilenglicolagente de reticulación, agente de curado
▶Sinomer® GDMA123-81-9Glicoldimercaptoacetete; Etileno di(S-tioacetato)estabilizador térmico de PVC 
▶Sinomer® EHMP50448-95-83-mercaptopropionato de 2-etilhexilo estabilizador de azufre y estaño
▶Sinomer® GMT8030618-84-9monotioglicolato de gliceriloquímica diaria


Embalaje :
  • Embalaje: 30 kg/tambor o 250 kg/tambor 

  • Entrega: en 5-7 días laborables.


Almacenamiento :

Manteniéndose en almacén seco, limpio y bien ventilado.

Evitar exponer a la luz y al calor.

Proteger el producto de fugas, lluvia e insolación durante el transporte.


¿Cómo Podemos Ayudar?

Ofrecemos una variedad de opciones para ayudarle a encontrar el producto adecuado para su aplicación.

¿POR QUÉ ELEGIR SINOCURE?

  • Desarrollo personalizado

    Proporcionar apoyo en la optimización de formulaciones para sistemas a base de agua/solventes

  • Cumplimiento global

    Cobertura completa de las normas REACH, FDA y GB

  • Suministro estable

    99,8% de tasa de entregas a tiempo, garantía de capacidad de producción de 10.000 toneladas

+86 15550440621
+8615668330235
info@sinocurechem.com
Su experto en formulación personalizada:
¡Desde el monómero hasta el polímero, desentrañamos todas las posibilidades!
©2025 Sinocure Chemical Group All Rights Reserved. CNZZ