Sinomer® BMES

banner

Sinomer® BMPT

Monómeros característicos, compuestos de politiol/policaptan/tiol, monómeros funcionales de sinomeros®

Monómeros característicos, compuestos de politiol/policaptan/tiol, monómeros funcionales de sinomeros®

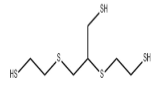
SINOMER® BMPT, el nombre químico es 2,3-bis((2-mercaptoetil)tio)-1-propanetiol; 1,2-Bis[(2-mercaptoetil)tio]-3-mercaptopropano; que es un monómero de politiol, comúnmente utilizado en recubrimientos UV, adhesivos y lentes ópticas.

Para más detalles sobre nuestros productos de politiol, por favor haga clic: El agente de curado de resina epoxi de primera elección para curado rápido y a baja temperatura / polymercaptan/


Compartir en

SINOMER® BMPT


CASO No.: 131538-00-6

Nombre químico:

2,3-bis((2-mercaptoetil)tio)-1-propanotaniol; 1,2-Bis[(2-mercaptoetil)tio]-3-mercaptopropano

Sinónimos:  THIOCURE DMPT; politeol DPPT; Mercaptano DMPT; Polimercaptano

Estructura molecular:


Estándar :
AparienciaLíquido transparente incoloro
Índice de refracción, 20ND1.6300~1.6350
Contenido de agua, ppm≤500
APHA Color≤8


Funciones :

• Alto índice de refracción, alta definición, alto Abbe y fuerte resistencia al impacto
• Ultraligera y fina, buena propiedad de teñido y aplicable al diseño de lentes progresivas de precisión

Aplicaciones :
  • Monómero de lente de gafas HRI 1.67

  • Elemento óptico de lente HRI

  • Pegamento UV para lentes ópticas de precisión

Otros productos relacionados con Polythiol/Polymercaptan :
Nombre del productoCaso No.Nombre químicoSinónimos/Aplicación
▶Sinomer® PETMP7575-23-7Penta-eritritol tetrakis(3-mercaptopropionato)PETMP TIOCURA;


PET-3-MP; Tetra (3-mercaptopropionato)

▶BMES de sinómeros®3570-55-6Bis(2-mercaptoetil) sulfuro;


Dimercapto sulfuro de dietilo;

2,2′-Tiodietanotiolil;

THIOCURE DMDS;


Polythiol DMDS

▶Sinomero® BMPT131538-00-62,3-bis((2-mercaptoetil)tio)-1-propanetioolTHIOCURE DMPT;


DPPT de politiol

▶Sinomer® PM83972244-98-5poli[oxi(metil-1,2-etanosediilo)],.alfa.-hidro-.omega.-hidroxi-, éter con éter 2,2-bis(hidroximetil)-1,3-propanediol (4:1), 2-hidroxi-3-mercaptopropílico éterAgente de curado epoxi, Capcure 3-800;


GABEPRO GPM-800;

Polythiol QE-340M;

Thiocure 1200

▶TMPMP de sinómero®33007-83-9Trimetilolpropano Tris (3-mercaptopropionato)/
▶Sinomer®OM835
188829-97-2Bis(tiirano-2-ilmetil)sulfano; 1,1′-Thiobis (2,3-epitiopropano); Sulfuro de Bis(2,3-etilpropilo)Monómero óptico de alto índice de refracción
▶Sinomer® OM26539667-72-62-ácido propenoico, éster etílico 2-(2-benzotiazoltio)éster; (2-(2-benzotiazoltio)etil)acrilato; MBTAMonómero óptico de alto índice de refracción
▶Sinomer® OM258 97049-32-02-Naftaleniltioetilacrilato; 2-éster de etílico de ácido propenoico 2-(2-naftaleniltio)éster; NTEAMonómero óptico de alto índice de refracción
▶Sinomer® OM386129283-82-5Sulfuro de Bis(4-metacrililtiofenilo); 4,4'-Tiodibenzenedithiol DimetacrilatoMonómero óptico de alto índice de refracción
▶Sinomer® PETMA10193-99-4Penta-eritritol tetrakis (2-mercaptoacetato)Agente de acoplamiento
▶Sinómero® EGDMP22504-50-3Etilenglicol Bis (3-Mercaptopropionato)agente de reticulación, agente de curación
▶GDMA de sinómero®123-81-9Glicodimerocaptoaceteto; Di-tileno (S-tioacetato)Estabilizador térmico de PVC
▶Sinomer® EHMP50448-95-82-etilhexilo 3-mercaptopropionatoEstabilizador de azufre-estaño
▶Sinomer® GMT8030618-84-9Gliceril monotiooglicolatoQuímica diaria


Embalaje :
  • Carga: 30 kg/tambor o 250 kg/tambor

  • Entrega: en 5-7 días laborables.


Almacenamiento :

Estar en un almacén seco y limpio con buena ventilación.

Evita exponerte a la luz y al calentamiento.

Protegiendo el producto de fugas, lluvia e insolación durante el transporte.


¿Cómo Podemos Ayudar?

Ofrecemos una variedad de opciones para ayudarle a encontrar el producto adecuado para su aplicación.

¿POR QUÉ ELEGIR SINOCURE?

  • Desarrollo personalizado

    Proporcionar apoyo en la optimización de formulaciones para sistemas a base de agua/solventes

  • Cumplimiento global

    Cobertura completa de las normas REACH, FDA y GB

  • Suministro estable

    99,8% de tasa de entregas a tiempo, garantía de capacidad de producción de 10.000 toneladas

+86 15550440621
+8615668330235
info@sinocurechem.com
Su experto en formulación personalizada:
¡Desde el monómero hasta el polímero, desentrañamos todas las posibilidades!
©2025 Sinocure Chemical Group All Rights Reserved. CNZZ